近日,山东大学公共卫生学院周成超教授团队在身体活动与老年健康研究领域取得系列研究进展,研究成果为延缓衰老、改善老年人健康提供了新的干预视角和政策建议,相关成果发表于Alzheimers & Dementia、BMC Medicine、Journal of the American Medical Directors Association等国际权威期刊上。

阿尔茨海默病是目前中老年人中最常见的痴呆类型,全球患病人数持续上升造成了巨大社会经济负担。身体活动可以通过多种机制(如增加脑源性神经营养因子)降低阿尔茨海默病患病风险,但其对血铅暴露所致阿尔茨海默病患病风险的效益尚不明确。团队研究发现,高血铅水平与中老年人阿尔茨海默病患病率增加相关,身体活动可降低该患病率且能调节血铅的有害影响,充足的身体活动带来的保护效果更显著,且这种联合作用存在人群差异。该研究结果为设计中老年人痴呆的干预策略提供了科学依据。上述研究成果以“Harmful impact of blood lead on the prevalence of Alzheimer's disease among middle-aged and older adults and the modifying role of physical activity: Evidence from the National Health and Nutrition Examination Survey (NHANES) study”为题,发表于国际权威期刊Alzheimers & Dementia(中科院一区Top,5年影响因子13.5)。该文以山东大学为第一和通讯作者单位,公共卫生学院博士后董晓升为本文的独立第一作者,北京大学体育教研部侯筱研究员和山东大学公共卫生学院周成超教授为共同通讯作者。

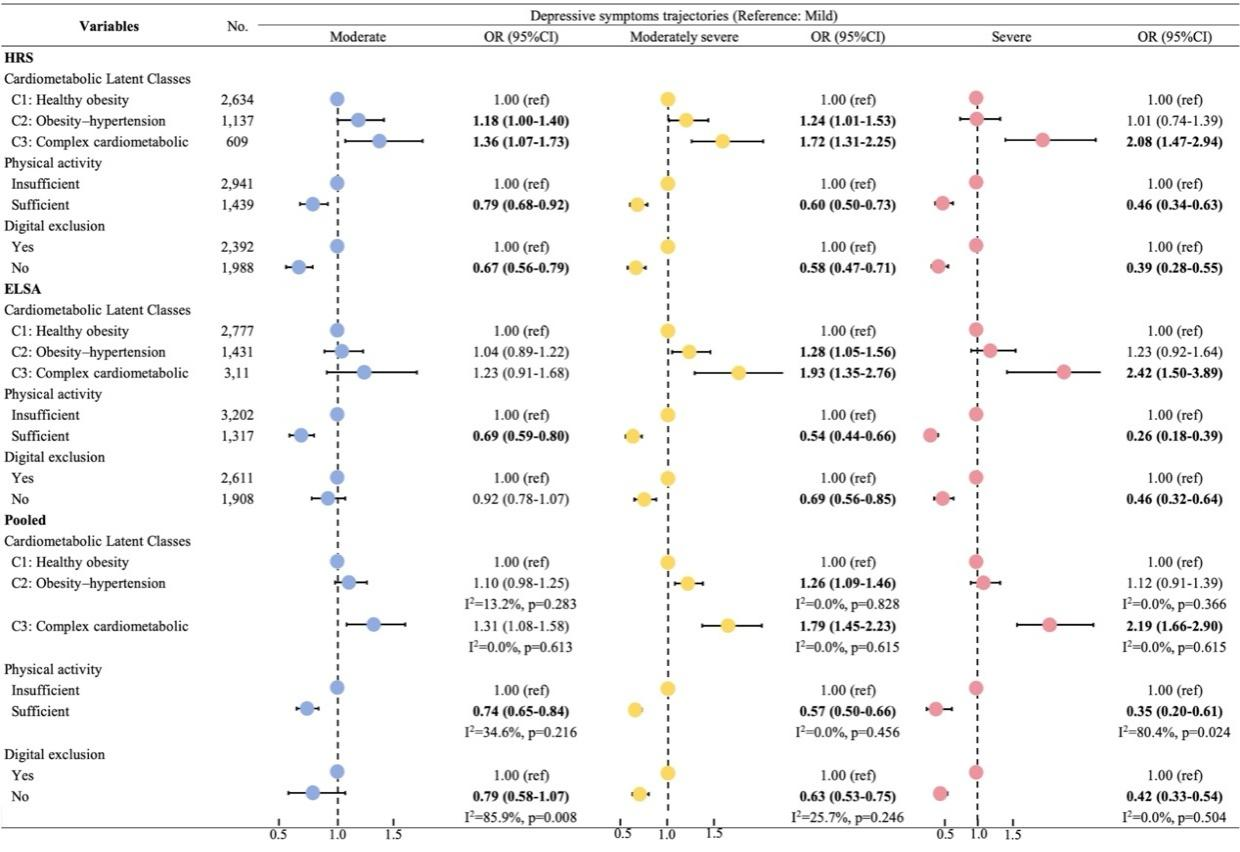
抑郁症已成为全球性中老年人的精神健康危机,被WHO定义为致残的首要因素。团队研究发现,糖尿病等代谢危险因素会增加持续高水平抑郁症状的风险,而数字参与和充足身体活动会降低抑郁风险。此外,充足身体活动还可以抵消肥胖-高血压和复杂心血管代谢模式的危害,揭示身体活动和数字参与综合干预可有效降低中老年人抑郁症负担。上述研究成果以“Clustering of cardiometabolic risk factors, physical activity, digital exclusion and depression trajectories in adults aged 50 years and older: Findings from two prospective cohort studies”为题,发表于国际权威期刊BMC Medicine(中科院一区Top,5年影响因子9.4)。该文以山东大学为第一和通讯作者单位,公共卫生学院博士后董晓升为本文的独立第一作者,周成超教授为唯一通讯作者。

全球老龄化加剧使中老年群体衰弱状态日益普遍,成为严重的公共卫生问题之一。识别衰弱的危险因素并采取有效干预措施具有重要意义。团队研究发现,长期暴露于使用固体燃料烹饪造成的室内空气污染会增加衰弱的发生风险;而保持三年以上充足的身体活动(尤其休闲性身体活动)可降低衰弱风险。此外,坚持三年以上充足的身体活动不仅能叠加由固体燃料转为清洁燃料带来的益处,还能抵消清洁燃料转为固体燃料所产生的不利影响。上述研究成果以“Household Air Pollution, Physical Activity, and the Risk of Frailty Among Middle-Aged and Older Adults: A Cohort Study”为题,发表于老年医学领域经典期刊Journal of the American Medical Directors Association(5年影响因子5.7)。该文以山东大学为第一和通讯作者单位,公共卫生学院博士后董晓升为本文的独立第一作者,北京体育大学侯筱副教授和山东大学公共卫生学院周成超教授为共同通讯作者。
以上研究得到了国家自然科学基金、中国博士后基金、山东省自然科学基金和山东省博士后创新计划资助。